• Monthly Reports
  • C M E
  • PUBLICATIONS
  • Notice
  • Upcoming Event
  • Gallery
  • Contact Us

Welcome

Forgot password?

Not a member? Join today

Logo
Menu
  • Home
  • About Us
        • About Institute
          • Recognition
            • AYUSH Permission
            • Affiliations
          • About Institute
          • Vision & Mission
          • About Hospital
          • N S S Programs
        • Message from Desk
          • Management
          • Principal
        • Governance
          • Hon’ble Vice-Chancellor RGUHS
          • Registrar [Evaluation] RGUHS
          • College Council
          • Ethical Committee
          • Anti Ragging Committee
          • Student Union
  • Courses
    • Undergraduate
    • Intake Capacity
    • Admission Apply
  • Department
        • Departments
          • Sanskrit Samhita Siddhant
          • Rachana Sharir
          • Kriya Sharir
          • Dravyaguna
        • Departments
          • Rasashastra & Bhaishyajya Kalpana
          • Vikruti Vigyan Avum Rognidan
          • Swasthvritta
          • Agadtantra & Vyavahar Ayurved Vidhi Vaidyaka
        • Departments
          • Prasutitantra & Stree Roga
          • Kaumarbhritya Tantra
          • Shalyatantra
          • Shalakyatantra
        • Departments
          • Panchakarma
          • Kayachikitsa
  • Academic
    • Calendar
    • College Staff details
      • Faculty
      • Non Teaching Staff
    • Syllabus
    • Staff Awards And Achievements
  • Students
    • Student Details
    • Students Attendance December 2020
    • Results
    • Awards and Achievements
  • Hospital
    • About Hospital
    • Facilities
  • Research

Notice Details

MAHAGANAPATI AYURVEDIC MEDICAL COLLEGE AND HOSPITAL

03 Oct 2025
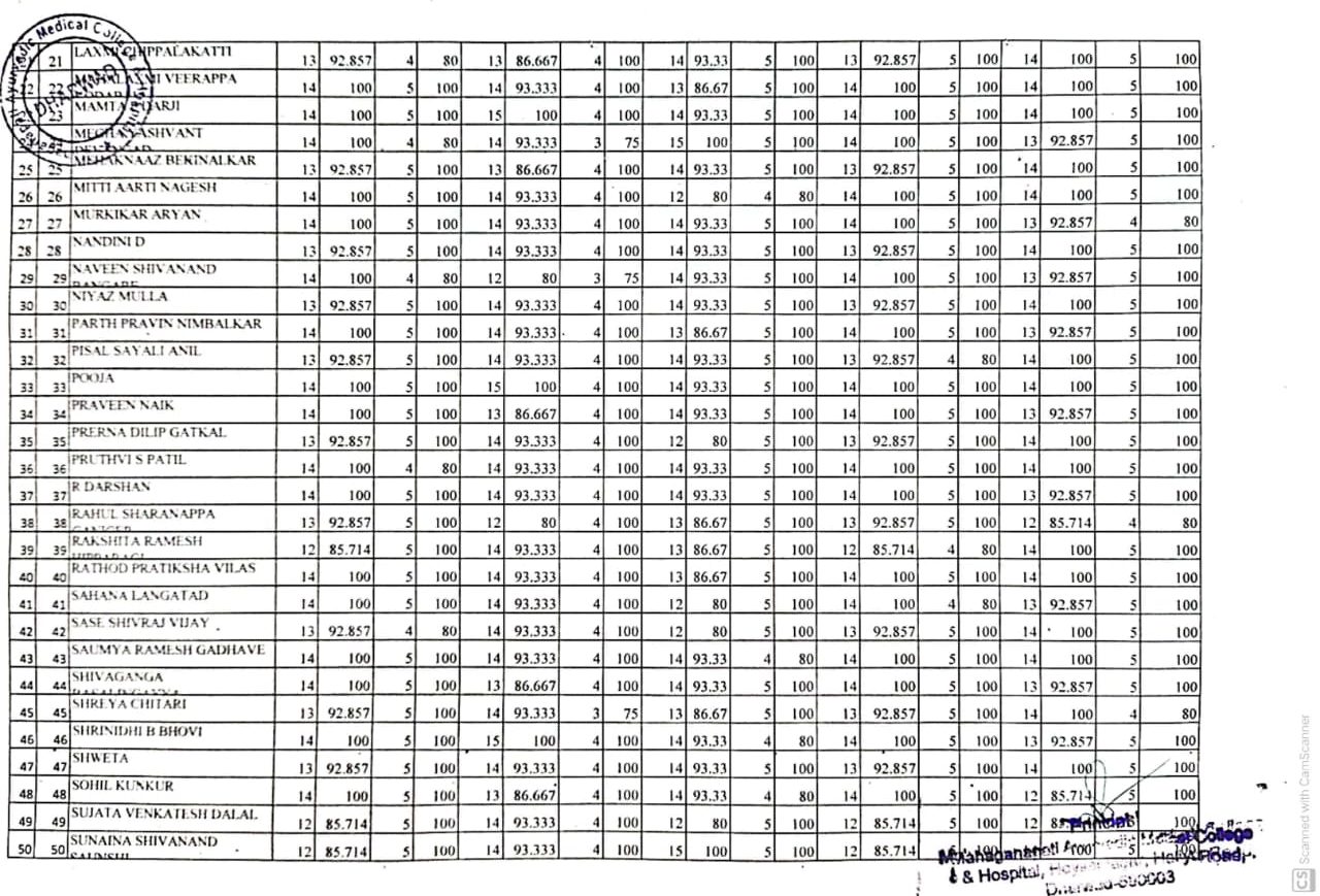
  • student-attn-report ug

I Phase (2024-25) BAMS Students attendance report for the month of September 2025

Download

Important Links

  • NCISM
  • AYUSH
  • RGUHS

Newsletter

Enter your email and we'll send you more information of courses and scholarship.

Find Us

Address
Mahaganapati Ayurvedic Medical College and Hospital,

Hoysal Nagar, Haliyal Road,

Dharwad-580003

Hours
Monday—Friday: 10:00AM–5:00PM
Saturday & Sunday: 10:00AM–2:00PM

About Office

Principal Mahaganapati Ayurvedic Medical College and Hospital, Call Us +919886808070,
+919535337578
0836 2772421,
Mahaganapathimamc@gmail.com
© Copyright Mahaganapati Ayurvedic Medical College And Hospital Dharwd
🔔
×

Latest Notices & Admissions

No active notices.